钙钛矿太阳能电池因为光电转换效率高、成本低、可溶液加工等优点引起了学术界和产业界的高度关注。卢辉东副教授团队利用第一性原理和求解麦克斯韦方程计算模拟钙钛矿材料化学组分调控及器件结构优化等方面来提高钙钛矿太阳能电池的稳定性。
【成果1】通过掺杂方法提高钙钛矿电池稳定性
室温下甲脒铅碘(FAPbI3)和甲胺铅碘(MAPbI3)钙钛矿稳定较差,团队通过向FAPbI3中掺入Cs和Br之后可以在室温下形成均一稳定钙钛矿相FA1- x Cs x PbI3- y Br y 化合物,理论计算发现Cs和Br的含量为12.5%和4%时钙钛矿相晶体最稳定,并理论预测了该电池的开路电压,短路电流,填充因子及转换效率。相关工作发表于【物理学报. 2021,70(3):036301】

【成果2】通过器件设计优化方法提高钙钛矿电池效率
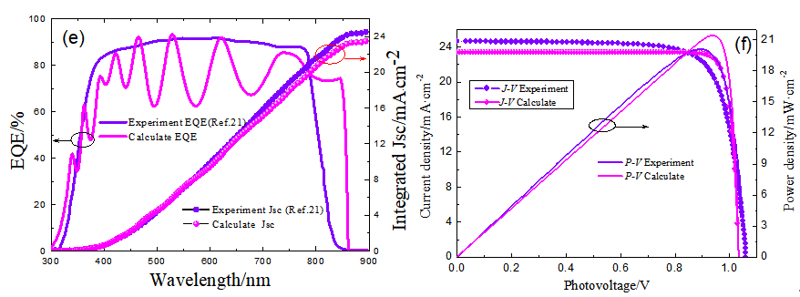
对于层状结构的钙钛矿太阳电池来说,每层薄膜的光学性质和厚度都影响着电池的光电转换效率。团队计算分析了各层厚度以及器件结构对电池短路电流密度的影响,为后期寻找更加优异的导电层提供指导。相关工作发表于【物理学报. 2021,70(16):036801】

图(e) Gass/FTO/TiO2/MAPbI3/piro-OMeTAD/Au组成的MAPbI3太阳电池的外量子效率和对应的积分电流密度; (f) J-V曲线
新闻小贴士:
《物理学报》为中文半月刊,1933年创刊,中国物理学会创办的第一本物理类综合性学术期刊,影响广泛。报道和刊登物理学各学科及其交叉学科具有创新性、高学术水平的研究论文、研究快讯和前沿综述等,促进我国优秀成果的国际传播与交流,是我国物理学领域产学研交流融合平台、最大的中文学术交流平台和青年人才培养的重要平台。被SCI, EI, Scopus, CAS, INSPEC, JICST, 中信所,北大图书馆,清华知网等数据库收录。位于JCR Q3区,中国科学院期刊分区表三区,2024年入选“中国科技期刊卓越行动计划中文领军期刊”。